2025-09-28 18:14:10

一、研究背景
光刻机是目前集成电路芯片制造的必备工具,照明系统是光刻机的核心分系统之一,为掩模面提供均匀照明、控制曝光剂量并实现不同的照明模式。其中,匀光单元用于实现照明均匀化,其设计直接影响照明系统乃至光刻机的性能。
用于光刻机照明系统的匀光元件有积分棒、微透镜阵列(MLA)、衍射光学元件(DOE)等。由于衍射损耗,DOE的使用仅限于小角度,并降低了传输效率,因此不常用于光刻机匀光单元。积分棒结构简单,加工难度和成本较低,但在小数值孔径情况下需要非常大的长宽比才能达到较好的匀光效果,占用空间较长,且数值孔径不宜过大。MLA适用于大数值孔径情况,能量损耗非常小、不影响激光束的偏振、纵向长度短,但MLA方案结构复杂度高、加工难度大。采用单一种类器件的匀光方案,难以在满足光刻照明均匀性要求的前提下兼顾系统长度、结构复杂度与加工难度。因此有必要寻找更优的光刻机照明系统匀光单元方案。
二、创新工作
结合积分棒匀光和MLA匀光两种方案的优势,中国科学院上海光学精密机械研究所信息光学与光电技术实验室提出一种单排平凸微柱面镜阵列(PCMCLA)与小长宽比积分棒相结合的匀光单元方案,如图1所示。积分棒入射端位于聚光镜组后焦面,PCMCLA只在X方向有光焦度,每个微柱面镜和聚光镜组组成了无焦扩束系统。在X方向上,PCMCLA将入射的环形照明光束分割为多个子光束,各子光束经扩束后在积分棒入射端处叠加形成均匀分布;在Y方向上,入射光束聚焦在积分棒入射端。再经积分棒匀化,最终在积分棒出射端得到一个矩形均匀光场。与采用单一种类器件的匀光方案相比,该方案能够更好地兼顾系统长度与可制造性。

图1 所提匀光单元结构布局。(a)X方向结构(俯视图); (b)Y方向结构(正视图)
如图2,在X方向上对本匀光单元光线理想分布的分析表明,积分棒入射光束的空间坐标与微柱面镜出射光线的方向余弦为线性关系:

式中:θM为微柱面镜的出射光线与所建坐标系X1轴的夹角;θN为微柱面镜的出射光线与Z轴的夹角;Xin为积分棒入射光线在积分棒入射端面上的横向坐标;f2’为聚光镜组的焦距。

图2 所提匀光单元中光线分布的几何原理
因此,采用光线方向余弦的分布偏差表征照明均匀性,将微柱面镜与聚光镜组的中间共焦点处光线方向余弦的理论值作为目标值,将各视场各归一化光瞳的光线方向余弦与其理论值的偏差的加权平方和作为匀光单元中的微柱面镜和聚光镜组设计的自动优化评价函数:

式中:i为视场编号;j为归一化光瞳编号;Wi,j为第个视场、第j个归一化光瞳的权重;图片为对应光线出射方向余弦的真实光线追迹值;图片为对应光线出射方向余弦的理论值。
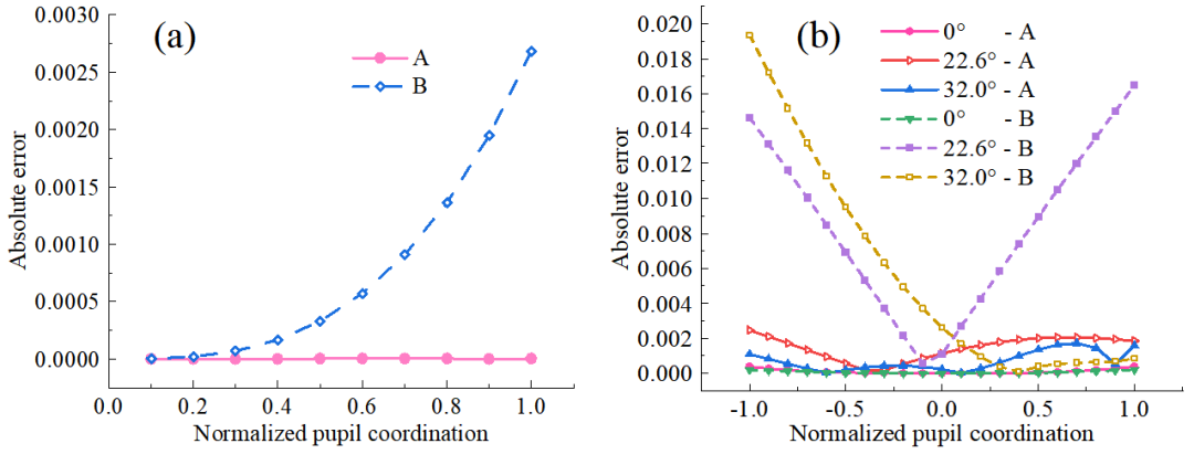
基于上述方案和评价函数对KrF光刻机照明系统匀光单元进行光学设计(以“A”为标识),同时将基于传统弥散斑RMS评价函数的设计作为对照组(以“B”为标识),对两种设计结果的初步评价表明,基于所构建评价函数获得的优化设计结果中光线方向余弦的分布更接近理想分布,如图3所示。

图3 出射光线方向余弦的绝对偏差分布曲线。(a)微柱面镜;(b)聚光镜组
如图4所示,在LightTools 软件中对所设计匀光单元进行了照明均匀性仿真,得到积分棒输入光场和输出光场的照度分布如图5所示。传统照明与环形照明模式下,基于所构建评价函数设计的匀光单元输出光场照明积分不均匀性(IINU)小于0.60%,且在每种部分相干因子下均明显优于对照组,验证了所提匀光单元方案的可行性和评价函数的优越性。在此基础上,对该匀光单元采用静态灰度滤波法进行均匀性校正,使IINU小于0.43%,满足了IINU小于0.46%的设计指标。

图4 匀光单元仿真模型(A组)

图5 归一化照度分布示意图。(a)积分棒输入光场;(b)输出光场
三、总结
所提匀光单元在满足光刻照明均匀性要求的前提下,兼顾了系统长度、结构复杂度与加工难度等要求。目前,本匀光单元设计尚未全面地对加工和装配误差的影响进行评估,后续需要开展公差分析和实验验证等工作。
参考文献: 中国光学期刊网

您好,可以免费咨询技术客服[Daisy]
欢迎大家给我们留言,私信我们会详细解答,分享产品链接给您。
免责声明:
资讯内容来源于互联网,目的在于传递信息,提供专业服务,不代表本网站及新媒体平台赞同其观点和对其真实性负责。如对文、图等版权问题存在异议的,请联系我们将协调给予删除处理。行业资讯仅供参考,不存在竞争的经济利益。
